

Hãy luôn nhớ cảm ơn và vote 5*
nếu câu trả lời hữu ích nhé!
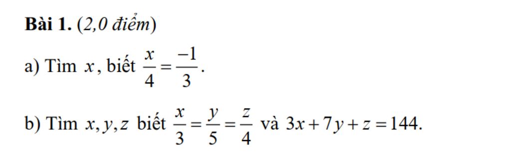
`a)x/4=(-1)/3`
`=>x.3=-1.4`
`=>3x=-4`
`=>x=-4/3`
Vậy `x=-4/3`
`b)` Áp dụng tính chất của dãy tỉ số bằng nhau, ta có:
`x/3=y/5=z/4=(3x+7y+z)/(3.3+7.5+4)=144/48=3`
`=>x=3.3=9;y=3.5=15;z=3.4=12`
Vậy `x=9;y=15;z=12`
Hãy giúp mọi người biết câu trả lời này thế nào?
Bài `1:`
`a)x/4=(-1)/3`
`=> x=(-1.4)/3`
`=> x=-4/3`
Vậy `x=-4/3`
`b)` Áp dụng tính chất của dãy tỉ số bằng nhau, ta có:
`x/3=y/5=z/4=(3x+7y+z)/(3.3+7.5+4)=144/48=3`
`=>x=3.3=9`
`y=3.5=15`
`z=3.4=12`
Vậy `x=9;y=15;z=12`
Hãy giúp mọi người biết câu trả lời này thế nào?
Bảng tin