Vui lòng chỉ chọn một câu hỏi
Hoidap247.com Nhanh chóng, chính xác
+
Danh mục mới
42
73
10
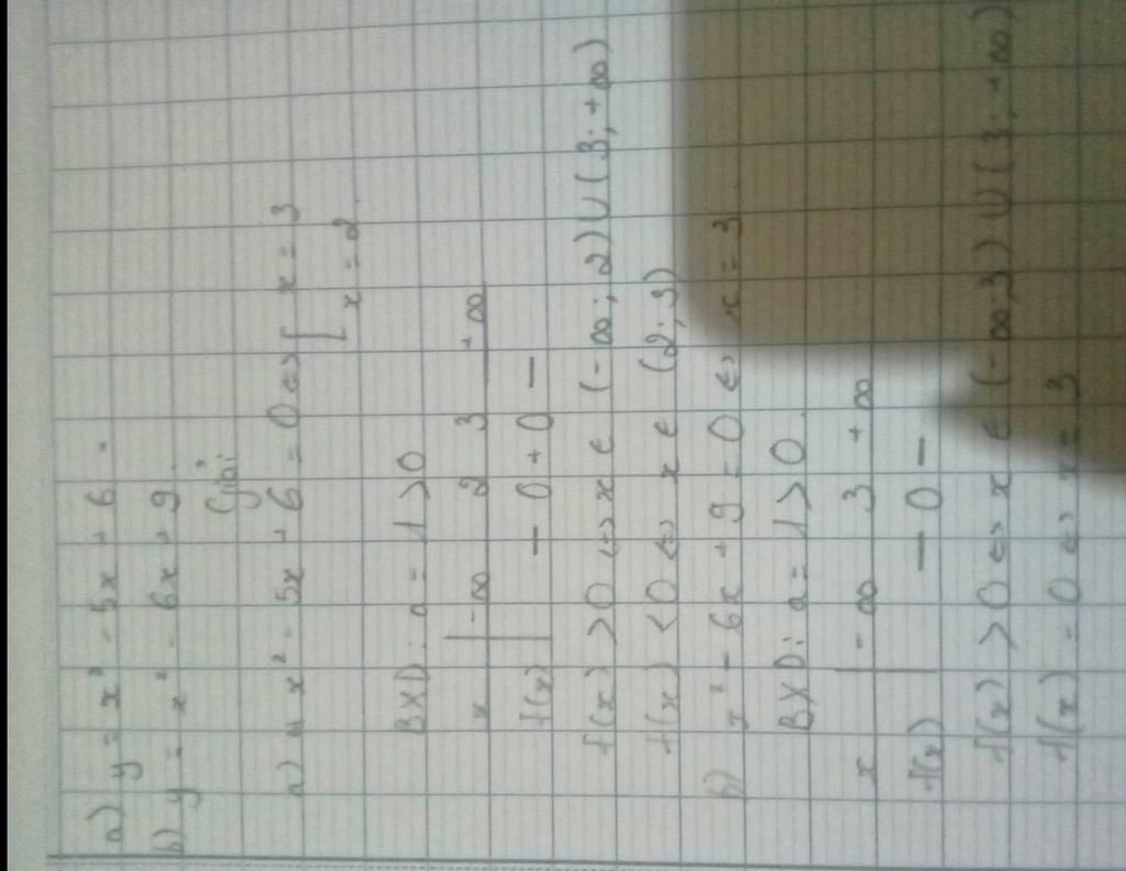
Xét dấu tam thức bậc 2
Và cho tớ hỏi trong trái dấu , ngoài cùng dấu là sao ạ
Hãy luôn nhớ cảm ơn và vote 5* nếu câu trả lời hữu ích nhé!
12
1593
2
Đáp án:
Mình không chắc cách trình bày giống với bên bạn học có gì không ổn thì cho mình xin lỗi ạ ")..còn câu hỏi kia bữa cô mình có giảng mà mình quên rồi nên ;-;
Hãy giúp mọi người biết câu trả lời này thế nào?
Cậu cho tớ hỏi là bảng xét dấu là 3 trước hay 2 trước cũng được đúng không ạ
thường thì là số nhỏ hơn trước á cậu
Đa tạ , chúc cậu một ngày tốt lành nhé
cậu cũng vậy nhé chúc cậu học tốt <3
Bảng tin
Gửi yêu cầu Hủy
42
73
10
Cậu cho tớ hỏi là bảng xét dấu là 3 trước hay 2 trước cũng được đúng không ạ
12
1593
2
thường thì là số nhỏ hơn trước á cậu
42
73
10
Đa tạ , chúc cậu một ngày tốt lành nhé
12
1593
2
cậu cũng vậy nhé chúc cậu học tốt <3