Đăng nhập để hỏi chi tiết


Hãy luôn nhớ cảm ơn và vote 5*
nếu câu trả lời hữu ích nhé!
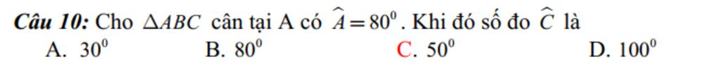
`-` Tam giác cân có `2` góc ở đáy bằng nhau
`Delta ABC` cân tại `A=>hat{B}=hat{C}`
`=>hat{B}=hat{C}=(180^o - hat{A})/2=(180^o -80^o)/2=50^o`
Vậy `hat{C}=50^o`
`->bbC`
Hãy giúp mọi người biết câu trả lời này thế nào?
Bảng tin