Tham Gia Group Dành Cho Lớp 11 Chia Sẻ, Trao Đổi Tài Liệu Miễn Phí
Cau
độ dài đoạn thẳng MN để góc giữa hai đường thang AD và
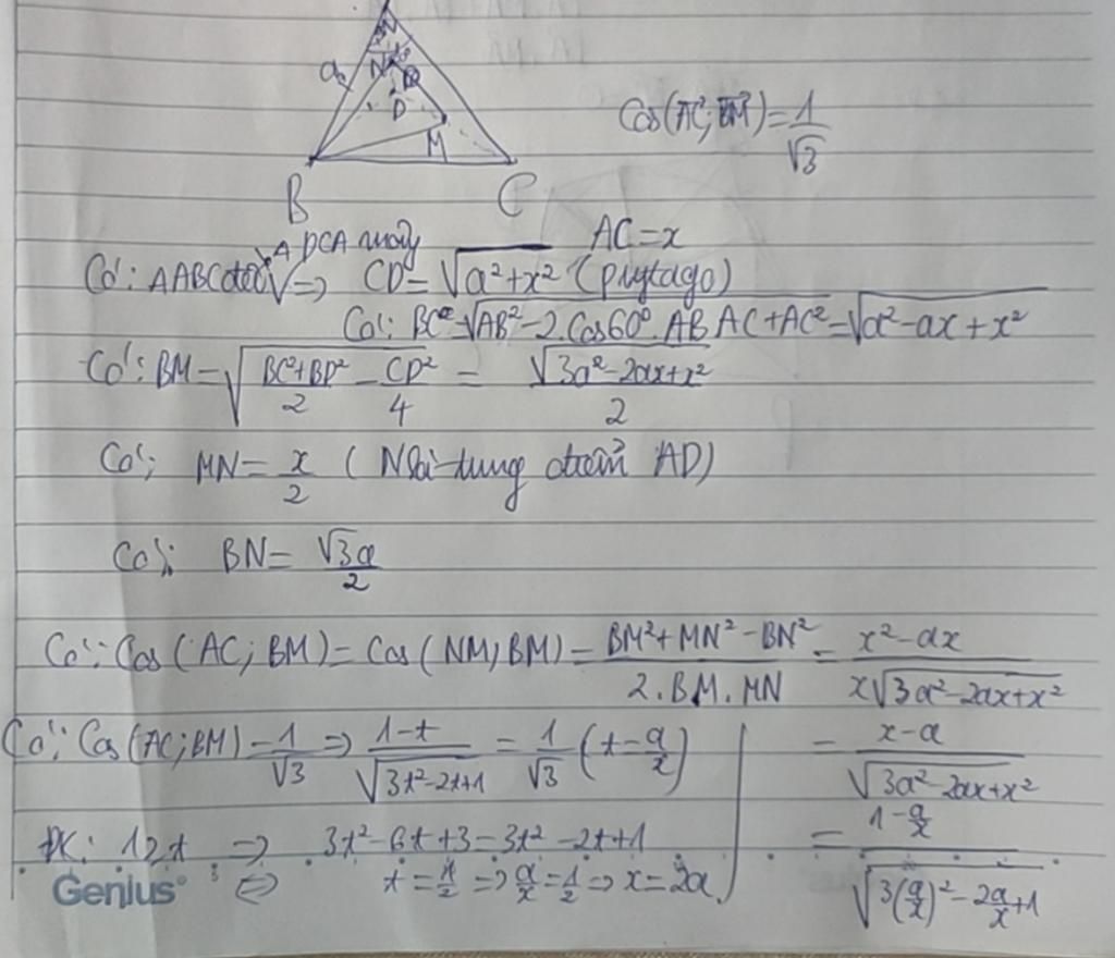
Câu 15: Cho tứ diện ABCD có AB=AD=a và BAC = BAD=60°,CAD=90° . Gọi M là trung điểm của
cạnh CD . Tính độ dài cạnh AC để côsin góc giữa hai đường thẳng 4C
và
BM
bằng
1
ادا
10
330
1
Cảm ơn bạn nhiều nhé