Đăng nhập để hỏi chi tiết


Hãy luôn nhớ cảm ơn và vote 5*
nếu câu trả lời hữu ích nhé!
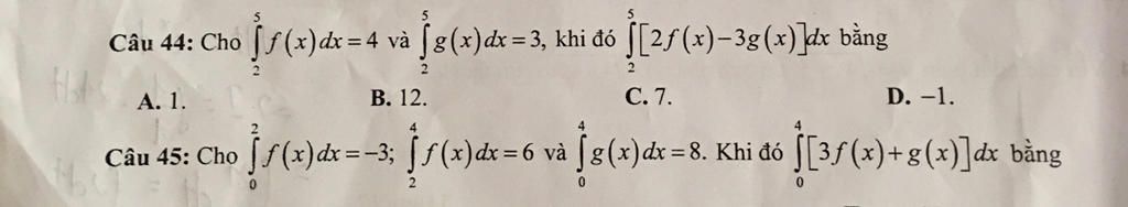
`bbtext {Câu 44:}`$\\$ `\int_{2}^{5} [2f(x)-3g(x)] dx`$\\$ `=2int_2^5f(x)dx-3int_2^5g(x)dx`$\\$ `=2.4-3.3=-1`$\\$ `=>` $\text{Chọn D}$$\\$ `bbtext {Câu 45:}`$\\$ `int_0^4f(x)=int_0^2f(x)dx+int_2^4f(x)dx=-3+6=3`$\\$ `->` `int_0^4[3f(x)+g(x)]dx`$\\$`=3int_0^4f(x)dx+int_0^4g(x)dx`$\\$ `=3.3+8=17`
Hãy giúp mọi người biết câu trả lời này thế nào?
Bảng tin