Vui lòng chỉ chọn một câu hỏi
Hoidap247.com Nhanh chóng, chính xác
+
Danh mục mới
0
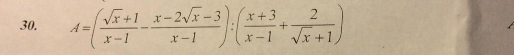
mọi người giải nhanh giúp em với
Hãy luôn nhớ cảm ơn và vote 5* nếu câu trả lời hữu ích nhé!
82
2072
198
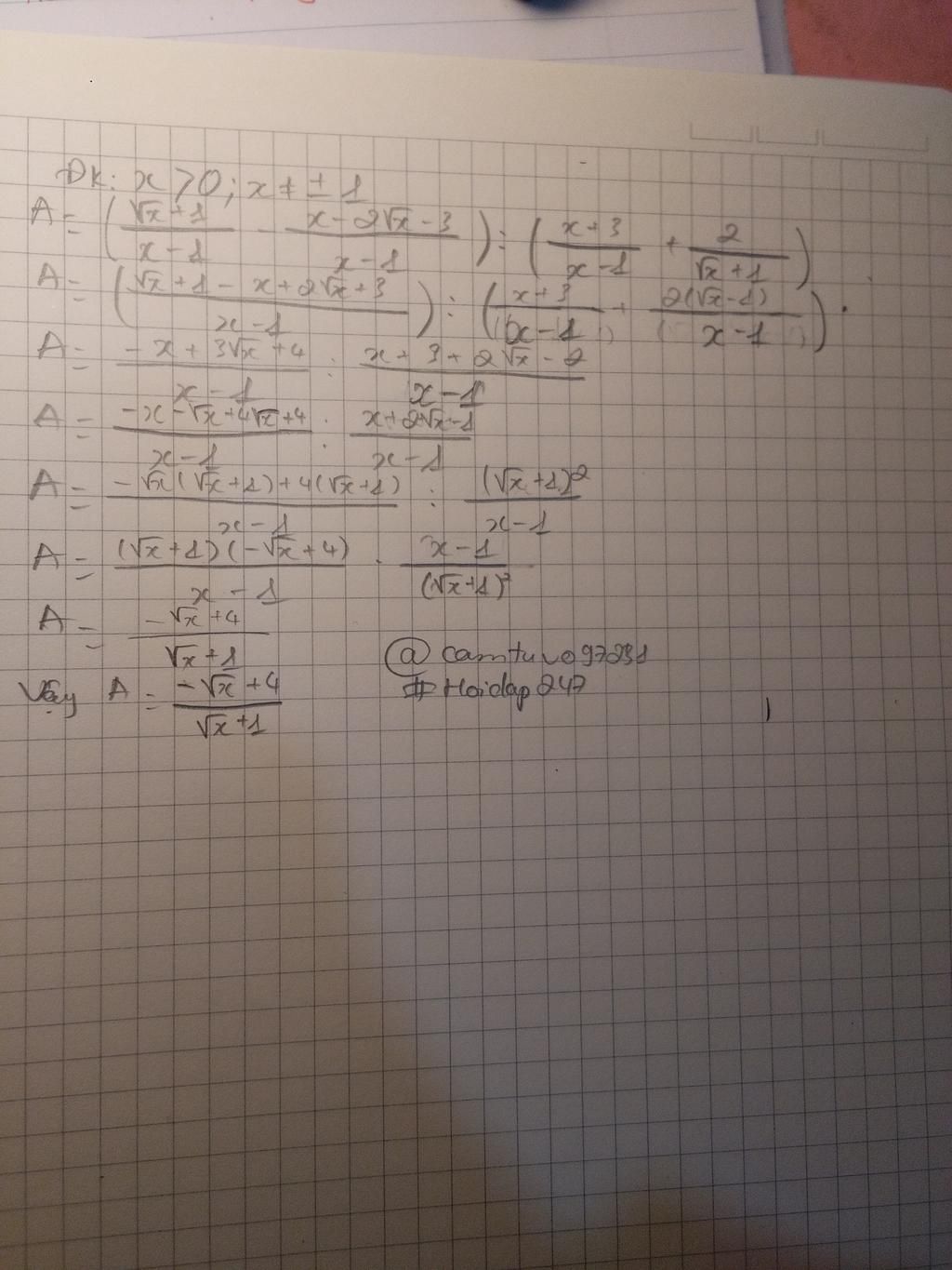
Mik gửi ạ!
Hãy giúp mọi người biết câu trả lời này thế nào?
Xem thêm:
5546
71468
4284
Bảng tin
Gửi yêu cầu Hủy