

Hãy luôn nhớ cảm ơn và vote 5*
nếu câu trả lời hữu ích nhé!
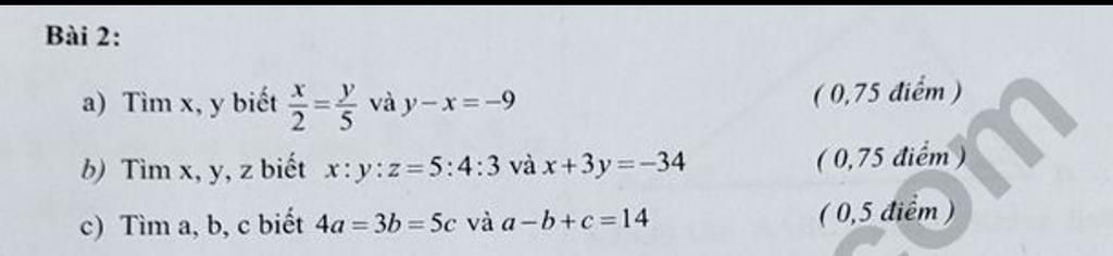
`a.`
Áp dụng tính chất dãy tỉ số bằng nhau:
`x/2=y/5=(y-x)/(5-2)=(-9)/3=-3`
Do đó :
`x/2=-3` `->``2*(-3)=-6`
`y/5=-3` `->``5*(-3)=-15`
$\\$
`b.`
`x:y:z=5:4:3`
`->x/5=y/4=z/3`
Áp dụng tính chất dãy tỉ số bằng nhau:
`x/5=y/4=z/3=(x+3y)/(5+4.3)=(34)/(17)=2`
Suy ra:
`x/5=2->5*2=10`
`y/4=2->4*2=8`
`z/3=2->3*2=6`
$\\$
`c.`
`4a=3b=5c`
`->(4a)/60=(3b)/60=(5c)/60`
`->a/15=b/20=c/12`
Áp dụng tính chất dãy tỉ số bằng nhau:
`a/15=b/20=c/12=(a-b+c)/(15-20+12)=14/7=2`
Suy ra:
`a/15=2->15*2=30`
`b/20=2->20*2=40`
`c/12=2->12*2=24`
`#me`
Hãy giúp mọi người biết câu trả lời này thế nào?
`a)` Áp dụng tính chất của dãy tỉ số bằng nhau, ta có:
`x/2=y/5=(y-x)/(5-2)=(-9)/3=-3`
`=>x=-3.2=-6;y=-3.5=-15`
Vậy `x=-6;y=-15`
`b)` Vì `x:y:z=5:4:3=>x/5=y/4=z/3`
Áp dụng tính chất của dãy tỉ số bằng nhau, ta có:
`x/5=y/4=z/3=(x+3y)/(5+3.4)=(-34)/17=-2`
`=>x=-2.5=-10;y=-2.4=-8;z=-2.3=-6`
Vậy `x=-10;y=-8;z=-6`
`c)` Vì `4a=3b=5c=>a/(1/4)=b/(1/3)=c/(1/5)`
Áp dụng tính chất của dãy tỉ số bằng nhau, ta có:
`a/(1/4)=b/(1/3)=c/(1/5)=(a-b+c)/(1/4-1/3+1/5)=14/(7/60)=120`
`=>a=120/4=30;b=120/3=40;c=120/5=24`
Vậy `a=30;b=40;c=24`
Hãy giúp mọi người biết câu trả lời này thế nào?
Bảng tin