Đăng nhập để hỏi chi tiết


Hãy luôn nhớ cảm ơn và vote 5*
nếu câu trả lời hữu ích nhé!
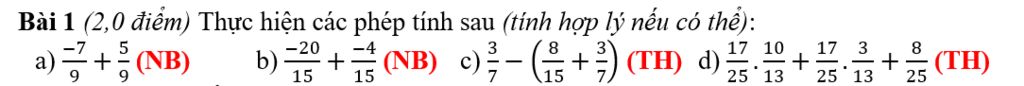
Bài `1:`
`a)` `(-7)/9+5/9`
`=((-7)+5)/9`
`=(-2)/9`
`b)` `(-20)/15+(-4)/15`
`=((-20)-4)/15`
`=(-25)/15`
`=(-5)/3`
`c) `3/7 - (8/15+3/7)`
`=3/7 - 8/15 - 3/7`
`=(3/7-3/7)-8/15`
`=0-8/15`
`=-8/15`
`d)` `17/25 . 10/13 + 17/25 . 3/13 + 8/25`
`=17/25.(10/12+3/13)+8/25`
`=17/25.1 + 8/25`
`=17/25 + 8/25`
`=1`
Hãy giúp mọi người biết câu trả lời này thế nào?
Bảng tin