Đăng nhập để hỏi chi tiết


Hãy luôn nhớ cảm ơn và vote 5*
nếu câu trả lời hữu ích nhé!
Đáp án:
Giải thích các bước giải:
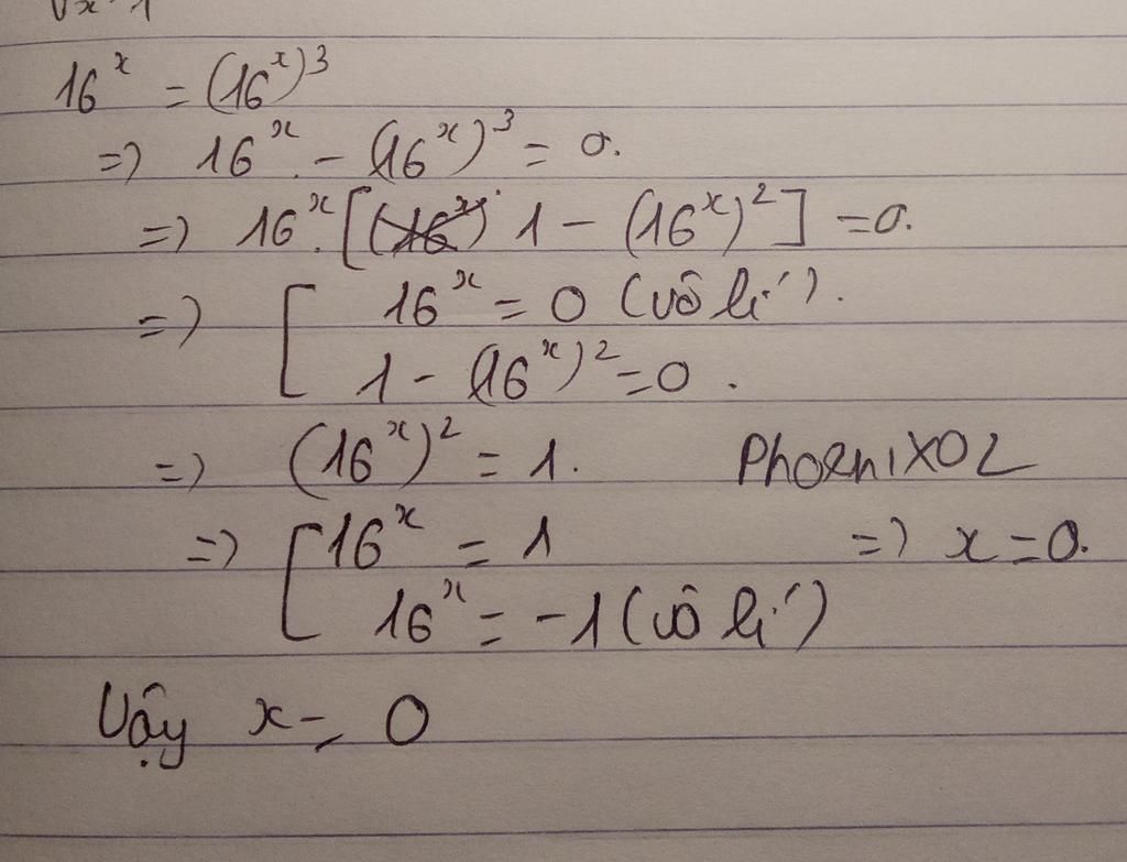
` 16^x = (16^x)^3`
`=> (16^x)^3 - 16^x = 0`
`=> 16^x[ (16^x)^2 - 1] = 0`
`TH1:` `16^x = 0`
`=>` `x ∈ ∅`
`TH2:` `(16^x)^2 - 1 = 0`
`=> (16^x)^2 = 1`
`=> (16^x)^2 = (±1)^2`
Với `16^x = 1`
`=> 16^x = 16^0`
`=>x = 0`
Với `16^x = -1`
`=> x ∈ ∅`
Vậy `x = 0`
Hãy giúp mọi người biết câu trả lời này thế nào?

Bảng tin