

Hãy luôn nhớ cảm ơn và vote 5*
nếu câu trả lời hữu ích nhé!
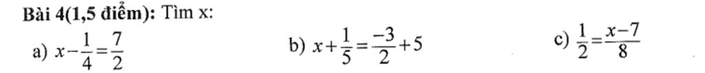
`a) x - 1/4 = 7/2`
`=> x = 7/2 + 1/4`
`=> x = 14/4 + 1/4`
`=> x = 15/4`
Vậy `....`
`b) x + 1/5 = -3/2 +5`
`=> x + 1/5 = 7/2`
`=> x = 7/2 - 1/5`
`=> x = 35/10 - 2/10`
`=> x = 33/10`
Vậy `......`
`c) 1/2 = (x-7)/8`
`=> 1.8 = 2(x-7)`
`=> x - 7 = 4`
`=> x = 11`
Vậy `......`
`#Mi n`
Hãy giúp mọi người biết câu trả lời này thế nào?
`a, x-1/4 =7/2`
`=> x = 14/4 + 1/4`
`=> x = 15/4`
Vậy `x = 15/4`
`b, x + 1/5 = -3/2 + 5`
`=> x = -3/2 +5 - 1/5`
`=> x = 33/10`
Vậy `x = 33/10`
`c, 1/2 = [x-7]/8`
`=> 2(x-7) = 8`
`=> x - 7=4`
`=> x = 11`
Vậy `x = 11`
Hãy giúp mọi người biết câu trả lời này thế nào?
Bảng tin