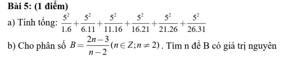
Bài 5: (1 điểm)
a) Tính tổng: $\frac{5^2}{1.6}$+ $\frac{5^2}{6.11}$ + $\frac{5^2}{11.16}$+ $\frac{5^2}{16.21}$+ $\frac{5^2}{21.26}$+ $\frac{5^2}{26.31}$
b) Cho phân số B =$\frac{2n-3}{n-2}$ (n $\in$Z; n$\neq$ 2)Tìm n để B có giá trị nguyên
Tham Gia Group Dành Cho Lớp 6 Chia Sẻ, Trao Đổi Tài Liệu Miễn Phí
Bài 5: (1 điểm)
a) Tính tổng: +
5² 5²
5² 5² 5² 5²
+ +
+
26.31
(n€Z;n=2). Tìm n để B có giá trị nguyên
1.6 6.11 11.16 16.21 21.26
2n-3
n-2
b) Cho phân số B=