

Hãy luôn nhớ cảm ơn và vote 5*
nếu câu trả lời hữu ích nhé!
Đáp án:
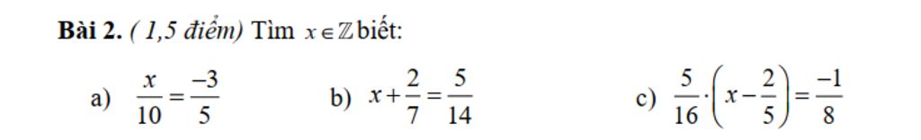
`a) x/10 = (-3)/5`
`-> 5x = -30`
`-> x = -6`
Vậy `x = -6`
`b) x + 2/7 = 5/14`
`-> x = 5/14 - 2/7`
`-> x = 1/14`
Vậy `x = 1/14`
`c) 5/16 . (x-2/5) = -1/8`
`-> x - 2/5 = -2/5`
`-> x = -2/5 + 2/5`
`-> x = 0`
Vậy `x = 0`
Hãy giúp mọi người biết câu trả lời này thế nào?
`a) x/10 = (-3)/5`
`<=> 5x =(-3).10`
`<=> x = (-30)/5 = -6`
Vậy `x = -6`
`b) x + 2/7 = 5/14`
`<=> x = 5/14 - 2/7`
`<=> x = 5/14 - 4/14 = 1/14`
Vậy `x = 1/14`
`c) 5/16 . (x-2/5) = -1/8`
`<=> x - 2/5 = -1/8 : 5/16`
`<=> x - 2/5 = -1/8 . 16/5`
` <=> x - 2/5 = -2/5`
`<=> x = -2/5 + 2/5 = 0`
Vậy `x = 0`
`#Mi n`
Hãy giúp mọi người biết câu trả lời này thế nào?
Bảng tin