

Hãy luôn nhớ cảm ơn và vote 5*
nếu câu trả lời hữu ích nhé!
Đáp án`+`Giải thích các bước giải :
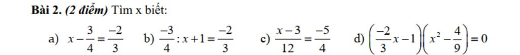
`a)`
`x-3/4=(-2)/3`
`<=>x=-2/3+3/4`
`<=>x=1/12`
Vậy `x=1/12`
_____________________________________________________
`b)`
`(-3)/4:x+1=(-2)/3`
`<=>-3/4:x=-5/3`
`<=>x=9/20`
Vậy `x=9/20`
_____________________________________________________
`c)`
`(x-3)/12=(-5)/4`
`=>4.(x-3)=-5.12`
`<=>4x-12=-60`
`<=>4x=-48`
`<=>x=-12`
Vậy `x=-12`
_____________________________________________________
`d)`
`((-2)/3x-1)(x^2-4/9)=0`
`<=>[(-2/3x-1=0),(x^2-4/9=0):}`
`<=>[(-2/3x=1),(x^2=4/9):}`
`<=>[(x=-3/2),(x=+-2/3):}`
Vậy `x=-3/2` hoặc `x=+-2/3` .
Hãy giúp mọi người biết câu trả lời này thế nào?
`a) x-3/4 = -2/3`
`<=> x = -2/3 + 3/4`
`<=> x = -8/12 + 9/12`
`<=> x = 1/12`
Vậy `x= 1/12`
`b) -3/4 : x + 1 = -2/3`
`<=> -3/4 : x= -5/3`
`<=> x = -3/4 : -5/3`
`<=> x = -3/4 . -3/5`
`<=> x = 9/20`
Vậy `x = 9/20`
`c) (x-3)/12 = -5/4`
`<=> 4(x-3) = -60`
`<=> x-3 = -15`
`<=> x = -12`
Vậy `x=-12`
`d) (-2/3x - 1)(x^2 -4/9)=0`
`<=> -2/3x - 1 =0` hoặc ` x^2 - 4/9 = 0`
`<=> x = -3/2` hoặc ` x = +- 2/3`
Vậy `x in { -3/2 ; 2/3 ; -2/3)
`#Mi n`
Hãy giúp mọi người biết câu trả lời này thế nào?
Bảng tin