

Hãy luôn nhớ cảm ơn và vote 5*
nếu câu trả lời hữu ích nhé!
Đáp án`+`Giải thích các bước giải :
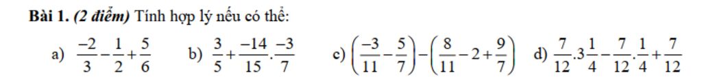
`a)``(-2)/3-1/2+5/6`
`=-4/6-3/6+5/6`
`=-1/3`
_____________________________________________
`b)``3/5+(-14)/15 . (-3)/7`
`=3/5+2/5`
`=5/5`
`=1`
_____________________________________________
`c)``((-3)/11-5/7)-(8/11-2+9/7)`
`=-3/11-5/7-8/11+2-9/7`
`=(-3/11-8/11)-(5/7+9/7)+2`
`=-11/11-14/7+2`
`=-1-2+2`
`=-1`
_____________________________________________
`d)``7/12 .3 1/4-7/12 . 1/4+7/12`
`=7/12 .(13/4-1/4+1)`
`=7/12 .4`
`=7/3`
Hãy giúp mọi người biết câu trả lời này thế nào?
`a . ` `(-2)/3-1/2+5/6`
`=` `(-4)/6-3/6+5/6`
`=` `(-1)+5/6`
`=` `-1/6`
$\\$
`b . ` `3/5+(-14)/15*(-3)/7`
`=` `3/5+2/5`
`=` `(3+2)/5`
`=` `5/5`
`=` `1`
$\\$
`c . ` `((-3)/11-5/7)-(8/11-2+9/7)`
`=` `(-3)/11-5/7-8/11+2-9/7`
`=` `((-3)/11-8/11)-(5/7+9/7)+2`
`=` `(-1)-2+2`
`=` `(-3)+2`
`=` `-1`
$\\$
`d . ` `7/12*3 1/4-7/12*1/4+7/12`
`=` `7/12*13/4-7/12*1/4+7/12`
`=` `7/12*(13/4-1/4+1)`
`=` `7/12*4`
`=` `7/3`
`#me`
Hãy giúp mọi người biết câu trả lời này thế nào?
Bảng tin
7
915
3
giúp với https://hoidap247.com/cau-hoi/6670981