

Hãy luôn nhớ cảm ơn và vote 5*
nếu câu trả lời hữu ích nhé!
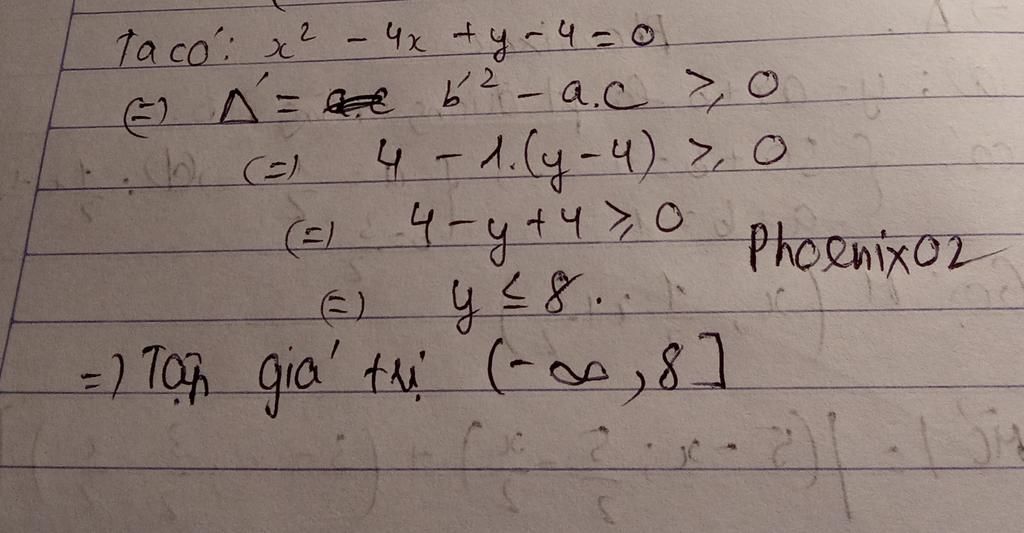
`\text{Đáp án:}`
`\text{- Tập giá trị:} T = (-∞;8]`
`\text{Giải thích các bước giải:}`
`\text{- Từ phương trình:} y = -x^2 +4x+4 \text{ta có:}`
`x^2 -4x+y-4 = 0 (#)`
`\text{- Để phương trình (#) có nghiệm:}`
`⇒ Δ ≥ 0`
`⇒ b^2 -4×a×c ≥ 0`
`⇒ (-4)^2 -4×1×(y-4) ≥ 0`
`⇒ 16-4×(y-4) ≥ 0`
`⇒ 16+16-4y ≥0`
`⇒ 32-4y ≥ 0`
`⇒ 4y ≤ 32`
`⇒ y ≤ 8`
`\text{- Vậy tập giá trị:} T = (-∞;8]`
`\text{~ Chúc bạn học tốt ~}`
Hãy giúp mọi người biết câu trả lời này thế nào?
Bảng tin