Đăng nhập để hỏi chi tiết


Hãy luôn nhớ cảm ơn và vote 5*
nếu câu trả lời hữu ích nhé!
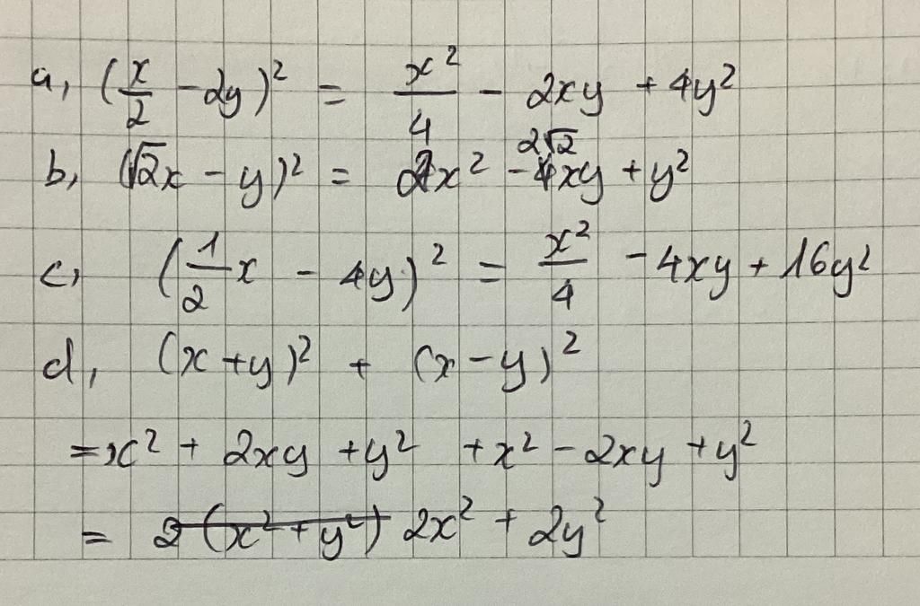
`(x/2-2y)^2`=$\frac{x^2}{4}$-`2``.``x/2`.`2y`+`4y^2`=$\frac{x^2}{4}$-`2xy+4y²`
`(2x-y)²`=`4x²-2.2x.y+y²`=`4x²-4xy+y²`
`(1/2 x - 4y)^2`=$\frac{x^2}{4}$-`2`.$\frac{x}{2}$.`4y`+`16y^2`=$\frac{x^2}{4}$-`2xy+4y²`=$\frac{x^2}{4}$-`4xy+16y²`
`(x + y)^2 `+ `(x - y)^2`=`x^2`+`2xy`+`y^2`+`x^2-`2xy`+`y^2`=`2x^2`+`2y^2`
Hãy giúp mọi người biết câu trả lời này thế nào?

Bảng tin