

Hãy luôn nhớ cảm ơn và vote 5*
nếu câu trả lời hữu ích nhé!
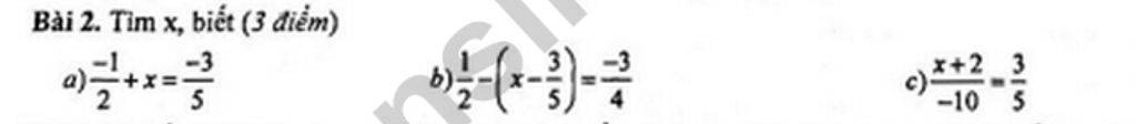
Bài `2:`
`a)` `(-1)/2 + x= (-3)/5`
`=>` `x=(-3)/5 - (-1)/2`
`=> x=(-6)/10 - (-5)/10`
`=> x=(-1)/10`
Vậy `x=(-1)/10`
`b)` `1/2 - (x-3/5)=-3/4`
`=> x-3/5 = 1/2 -(-3/4)`
`=> x-3/5 = 2/4 +3/4`
`=> x-3/5 = 5/4`
`=> x=5/4+3/5`
`=> x=25/20 + 12/20`
`=> x=37/20`
Vậy `x=37/20`
`c)` `(x+2)/(-10)=3/5`
`=> x+2=((-10).3)/(5)`
`=> x+2=(-6)`
`=> x=(-6)-2`
`=> x=-8`
Vậy `x=-8`
Hãy giúp mọi người biết câu trả lời này thế nào?
`a) -1/2 +x=-3/5`
`=> x=-3/5+1/2`
`=> x=-1/10`
Vậy `x=-1/10`
`b) 1/2 -(x-3/5)=-3/4`
`=> x-3/5=1/2 - (-3/4)`
`=> x-3/5=5/4`
`=> x=5/4+3/5`
`=> x=37/20`
Vậy `x=37/20`
`c) (x+2)/(-10)=3/5`
`=> x+2=3/5 .(-10)`
`=> x+2=-6`
`=> x=-6-2`
`=> x=-8`
Vậy `x=-8`
Hãy giúp mọi người biết câu trả lời này thế nào?
Bảng tin
2695
420
1926
t đang nốt tt, chắc mai ms vào đc
3253
2621
2665
uk
3253
2621
2665
R nhá =)) mở y/c r
2695
420
1926
=)) đóng lại đi mai t ms vào đc
3253
2621
2665
ok
2695
420
1926
https://hoidap247.com/cau-hoi/6659904
2695
420
1926
cho ne
3253
2621
2665
OK thnks