

Hãy luôn nhớ cảm ơn và vote 5*
nếu câu trả lời hữu ích nhé!
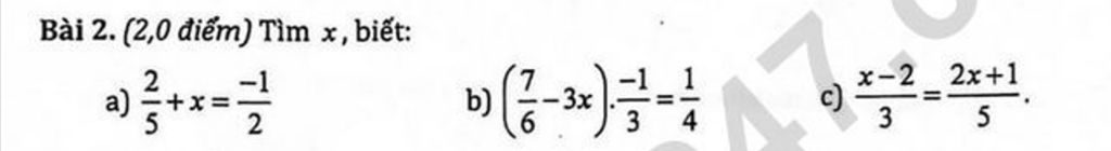
`2/5 + x = -1/2`
`x = -1/2 - 2/5`
`x= -9/10`
Vậy `x = -9/10`
`---`
`(7/6 - 3x) * (-1)/3 = 1/4`
`7/6 - 3x = -3/4`
`3x = 7/6 - 3/4`
`3x = 5/12`
`x = 5/36`
Vậy `x = 5/36`
`---`
`(x -2)/3 = (2x +1)/=5`
`=> 5(x -2) = 3(2x +1)`
`=> 5x - 10 = 6x + 3`
`=> 5x - 6x = 3 + 10`
`=> -x = 13`
`=> x= -13`
Vậy `x = -13`
Hãy giúp mọi người biết câu trả lời này thế nào?
Bài `2:`
`a)` `2/5 + x = -1/2`
`=>` `x = (-1/2) - 2/5`
`=>` `x= -9/10`
Vậy `x = -9/10`
`b)` `(7/6 - 3x) . (-1)/3 = 1/4`
`=>` `7/6 - 3x= 1/4 : (-1)/3`
`=>` `7/6 - 3x = -3/4`
`=>` `3x = 7/6 - 3/4`
`=>` `3x = 5/12`
`=>` `x=5/12 : 3`
`=>` `x = 5/36`
Vậy `x = 5/36`
`c)` `(x -2)/3 = (2x +1)/=5`
`=> 5.(x -2) = 3.(2x +1)`
`=> 5x - 10 = 6x + 3`
`=> 5x - 6x = 3 + 10`
`=> -x = 13`
`=> x= -13`
Vậy `x = -13`
Hãy giúp mọi người biết câu trả lời này thế nào?
Bảng tin