

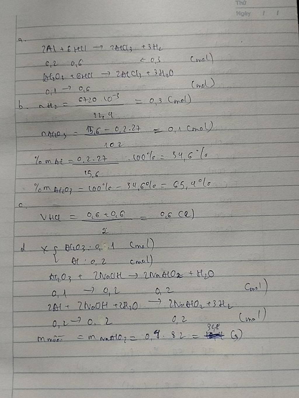
Cho 15,6 hỗn hợp X gồm Al và Al2O3 tác dụng với dung dịch HCl dư thu được 6720 ml khí (đktc)
a) viết các phương trình hóa học của phản ứng
b) tính thành phần phần trăm khối lượng mỗi chất trong hỗn hợp X
c) tính thể tích dung dịch HCl 2M dùng cần dùng là bao nhiêu ml
d) cho hỗn hợp X ở trên tác dụng với dung dịch NaOH dư. Tính khối lượng muối thu được.
Hãy luôn nhớ cảm ơn và vote 5*
nếu câu trả lời hữu ích nhé!
Đáp án ` + ` Giải thích các bước giải:
` a) ` Phương trình :
` 2Al + 6HCl -> 2AlCl_3 + 3H_2 `
` Al_2O_3 + 6HCl -> 2AlCl_3 + 3H_2O `
` b) `
` n_(H_2) = ( 6,72 ) / ( 22,4 ) = 0,3 ( mol ) `
` => m_(Al) = ( 0,3 . 2 ) / 3 . 27 = 5,4 ( g ) `
` => m_(Al_2O_3) = 15,6 - 5,4 = 10,2 ( g ) `
` => n_(Al_2O_3) = ( 10,2 ) / ( 102 ) = 0,1 ( mol ) `
` %m_(Al) = ( 5,4 ) / ( 15,6 ) . 100 ≈ 34,6 ( % ) `
` => %m_(Al_2O_3) = 100 - 34,6 = 65,4 ( % ) `
` c) `
` n_(HCl) = ( 0,3 . 6 ) / 3 + ( 0,1 . 6 ) / 1 = 1,2 ( mol ) `
` Vdd_(HCl) = 1,2 : 2 =0,6 ( l ) = 600 ml `
` d) ` Phương trình :
` 2Al + 2NaOH + 2H_2O -> 2NaAlO_2 + 3H_2 `
` Al_2O_3 + 2NaOH -> 2NaAlO_2 + H_2O `
` n_(Al) = 0,2 ; n_(Al_2O_3) = ( 10,2 ) / ( 102 ) = 0,1 ( mol ) `
` m_(NaAlO_2) = [( 0,2 . 2 ) / 2 + ( 0,1 . 2 ) / 1 ] . 82 = 32,8 ( g ) `
Hãy giúp mọi người biết câu trả lời này thế nào?

Bảng tin
2094
9104
765
bạn tự đặt số mol lên phương trình nhe