

Hãy luôn nhớ cảm ơn và vote 5*
nếu câu trả lời hữu ích nhé!
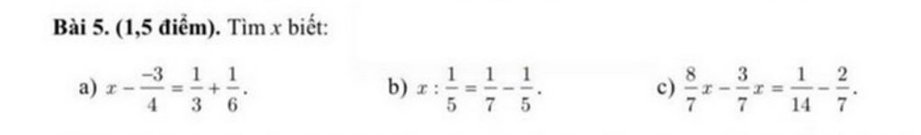
`a . ` `x-(-3)/4=1/3+1/6`
`=>` `x-(-3)/4=1/2`
`=>` `x=1/2+((-3)/4)`
`=>` `x=-1/4`
Vậy `x=-1/4`
$\\$
`b . ` `x:1/5=1/7-1/5`
`=>` `x:1/5=-2/35`
`=>` `x=(-2/35)*1/5`
`=>` `x=-2/175`
Vậy `x=-2/175`
$\\$
`c . ` `8/7x-3/7x=1/14-2/7`
`=>` `8/7x-3/7x=-3/14`
`=>` `(8/7-3/7)x=-3/14`
`=>` `5/7x=-3/14`
`=>` `x=-3/10`
Vậy `x=-3/10`
`#me`
Hãy giúp mọi người biết câu trả lời này thế nào?
Bài `5:`
`a)` `x- (-3)/4 = 1/3 + 1/6`
`=> x + 3/4 = 2/6 + 1/6`
`=> x + 3/4= 1/2`
`=> x=1/2 - 3/4`
`=> x= 2/4 - 3/4`
`=> x=-1/4`
Vậy `x=-1/4`
`b)` `x : 1/5 = 1/7 -1/5`
`=> x . 5= 5/35 - 7/35`
`=> x . 5 = -2/35`
`=> x= -2/35 : 5`
`=> x= -2/35 . 1/5`
`=> x=-2/175`
Vậy `x=-2/175`
`c)` `8/7x-3/7x=1/14-2/7`
`=>` `8/7x-3/7x=1/14 - 4/14`
`=>` `8/7x-3/7x=-3/14`
`=>` `(8/7-3/7)x=-3/14`
`=>` `5/7x=-3/14`
`=>` `x=-3/14 : 5/7`
`=>` `x=-3/14 . 7/5`
`=>` `x=-3/10`
Vậy `x=-3/10`
Hãy giúp mọi người biết câu trả lời này thế nào?
Bảng tin