Đăng nhập để hỏi chi tiết


Hãy luôn nhớ cảm ơn và vote 5*
nếu câu trả lời hữu ích nhé!
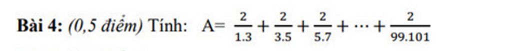
Bài `4:`
`A=2/1.3 +2/3.5+2/5.7 +...+2/99.101`
`A=1-1/3+1/3-1/5+1/5-1/7+...+1/99-1/101`
`A=1-1/101`
`A=101/101 - 1/101`
`A=100/101`
Vậy `A=100/101`
Hãy giúp mọi người biết câu trả lời này thế nào?
Bảng tin