Tham Gia Group Dành Cho Lớp 7 Chia Sẻ, Trao Đổi Tài Liệu Miễn Phí
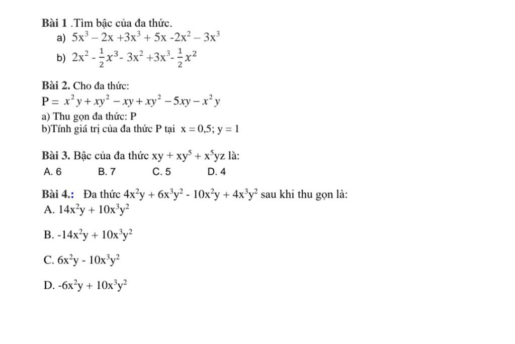
Bài 1.Tìm bậc của đa thức.
a) 5x³ – 2x +3x3 + 5x -2x? – 3x
b) 2x? -x- 3x² +3x²
Bài 2. Cho đa thức:
Р- х*у+ ху? — ху + ху? — 5ху — х* у
a) Thu gọn đa thức: P
b)Tính giá trị của đa thức P tại x = 0,5; y = 1
Bài 3. Bậc của đa thức xy + xy + x°yz là:
C. 5
A. 6
B. 7
D. 4
Bài 4.: Đa thức 4x? ...