Vui lòng chỉ chọn một câu hỏi
Hoidap247.com Nhanh chóng, chính xác
+
Danh mục mới
52
1747
23
Hãy luôn nhớ cảm ơn và vote 5* nếu câu trả lời hữu ích nhé!
1
423
0
Đây ạ
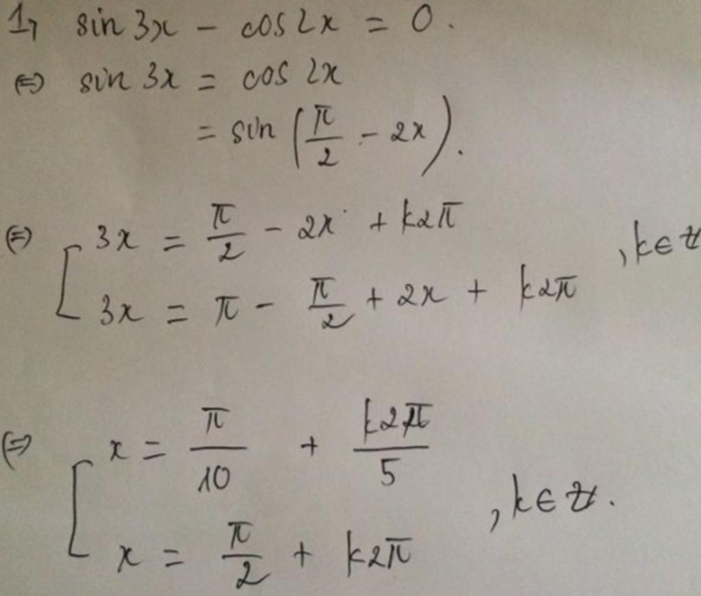
sin3x-cos2x=0 => -4sin^3x+2sin^2x+3sinx-1 =>sinx=1 => x=pi/2 +k2pi
Hãy giúp mọi người biết câu trả lời này thế nào?
bạn chưa giải mà...
Để mik lm lại
Bảng tin
Gửi yêu cầu Hủy
52
1747
23
bạn chưa giải mà...
1
423
0
Để mik lm lại