Đăng nhập để hỏi chi tiết


Hãy luôn nhớ cảm ơn và vote 5*
nếu câu trả lời hữu ích nhé!

Đáp án:
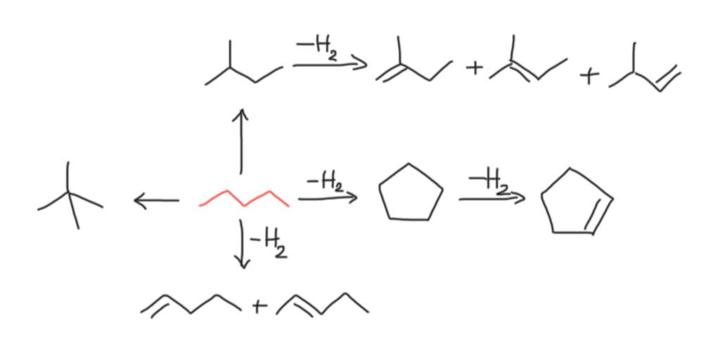
Quá trình reforming có thể xảy ra nhiều phản ứng liên tiếp như dehydrogen hoá, đồng phân hoá,...
Hãy giúp mọi người biết câu trả lời này thế nào?
Bảng tin