

Hãy luôn nhớ cảm ơn và vote 5*
nếu câu trả lời hữu ích nhé!
Đây là câu trả lời đã được xác thực
Câu trả lời được xác thực chứa thông tin chính xác và đáng tin cậy, được xác nhận hoặc trả lời bởi các chuyên gia, giáo viên hàng đầu của chúng tôi.
`#Zkj `
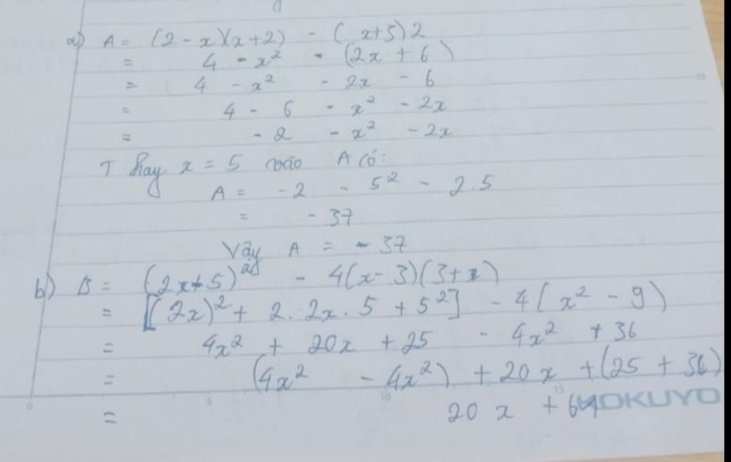
`a)A=(2-x)(x+2)-(x+3)^2 `
`=2(x+2)-x(x+2)-x^2-6x-9 `
`=2x+4-x^2-2x-x^2-6x-9 `
`=-2x^2-6x-5 `
Tại `x=5 `
`-2.5^2-6.5-5 `
`=-2.25-30-5 `
`=-50-30-5 `
`=-85 `
`b)B=(2x+5)^2-4(x-3)(3+x) `
`=4x^2+20x+25-4(x^2-9) `
`=4x^2+20x+25-4x^2+36 `
`=20x+61 `
Tại `x=1/10 `
`20. 1/10+61 `
`=2+61 `
`=63 `
`c) ` Tại `x=101 `
`101^3-3.101^2+3.101+2023 `
`=1030301-3.10201+303+2023 `
`=1030301-30603+2326 `
`=999696+2326 `
`=1002024 `
`d)D=x^2-6x^2+12x-100 `
`=-5x^2+12x-100 `
Tại `x=-98 `
`-5.(-98)^2+12.-98-100 `
`=-5.9604-1176-100 `
`=-48020-1176-100 `
`=-49296 `
`e)E=(x+1)^3+6(x+1)^2+12x+20 `
`=x^3+3x^2+3x+1+6(x^2+2x+1)+12x+20 `
`=x^3+3x^2+3x+1+6x^2+12x+6+12x+20 `
`=x^3+9x^2+27x+27 `
Tại `x=5 `
`5^3+9.5^2+27.5+27 `
`=125+9.25+135+27 `
`=125+225+135+27 `
`=350+162 `
`=512 `
`f)F=(2x-1)(4x^2+2x+1)-7(x+1) `
`=8x^3-1-7x-7 `
`=8x^3-7x-8 `
Tại `x=1/2 `
`8.(1/2)^3-7. 1/2-8 `
`=8. 1/8-7/2-8 `
`=1-7/2-8 `
`=-21/2 `
Hãy giúp mọi người biết câu trả lời này thế nào?

Bảng tin
6273
1785
4649
:3 kiểu j chả có ne
1889
524
1050
chờ mãi chưa coá chị à <3
6273
1785
4649
`2 ` xt r kiaa
1889
524
1050
`3` tháng r chưa có `1` cái xth :((
6273
1785
4649
Tháng này t cx ms có tầm `2 ` hay `3 ` cái th =))
1889
524
1050
trời
2695
436
1927
sướng nhé, chúc mừng chị `17` xth rồi =)))
6273
1785
4649
C cảm ơn :3