

Hãy luôn nhớ cảm ơn và vote 5*
nếu câu trả lời hữu ích nhé!
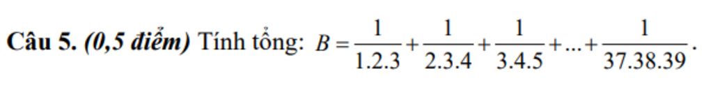
`B=1/(1.2.3)+1/(2.3.4)+1/(3.4.5)+....+1/(37.38.39)`
`2B=2. (1/(1.2.3)+1/(2.3.4)+1/(3.4.5)+....+1/(37.38.39))`
`2B=2/(1.2.3)+2/(2.3.4)+2/(3.4.5)+....+2/(37.38.39)`
`2B=1/(1.2)-1/(2.3)+1/(2.3)-1/(3.4)+1/(3.4)-1/(4.5)+...+1/(37.38)-1/(38.39)`
`2B=1/(1.2)-1/(38.39)`
`2B=1/2-1/1482`
`2B=370/741`
`B=370/741 : 2`
`B=185/741`
Vậy `B=185/741`
Hãy giúp mọi người biết câu trả lời này thế nào?
`B = 1/(1.2.3) + 1/(2.3.4) + 1/(3.4.5) + ... + 1/(37.38.39)`
`2B = 2 (1/(1.2.3) + 1/(2.3.4) + 1/(3.4.5) + ... + 1/(37.38.39))`
`2B = 2/(1.2.3) + 2/(2.3.4) + 2/(3.4.5) + ... + 2/(37.38.39)`
`2B = 1/(1.2) - 1/(2.3) + 1/(2.3) - 1/(3.4) + 1/(3.4) - 1/(4.5) + ... + 1/(37.38) - 1/(38.39)`
`2B = 1/(1.2) - 1/(38.39)`
`2B = 1/2 - 1/1482`
`2B = 741/1482 - 1/1482`
`2B = 740/1482`
`2B = 340/741`
`B = 340/741 : 2`
`B = 170/741`
Hãy giúp mọi người biết câu trả lời này thế nào?
Bảng tin