Vui lòng chỉ chọn một câu hỏi
Hoidap247.com Nhanh chóng, chính xác
+
Danh mục mới
0
2380
Hãy luôn nhớ cảm ơn và vote 5* nếu câu trả lời hữu ích nhé!
5012
2161
1555
`Accnswer`
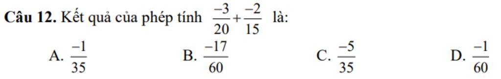
`(-3)/20+(-2)/15`
`=-3/20-2/15`
`=-9/60-8/60`
`=-17/60`
`->bbB`
Hãy giúp mọi người biết câu trả lời này thế nào?
3844
337
2094
Đáp án+Giải thích các bước giải:
`=(-9)/60+(-8)/60`
`=(-17)/60`
`->\bbB`
Bảng tin
Gửi yêu cầu Hủy