

Hãy luôn nhớ cảm ơn và vote 5*
nếu câu trả lời hữu ích nhé!
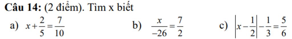
`a . ` `x+2/5=7/10`
`=>` `x=7/10-2/5`
`=>` `x=3/10`
Vậy `x=3/10`
$\\$
`b . ` `x/(-26)=7/2`
`=>` `2x=-182`
`=>` `x=-91`
Vậy `x=-91`
$\\$
`c . ` `|x-1/2|-1/3=5/6`
`=>` `|x-1/2|=5/6+1/3`
`=>` `|x-1/2|=7/6`
`=>` $\left[\begin{matrix} x-\dfrac{1}{2}=\dfrac{7}{6}\\ x-\dfrac{1}{2}=-\dfrac{7}{6}\end{matrix}\right.$
`=>` $\left[\begin{matrix} x=\dfrac{7}{6}+\dfrac{1}{2}\\ x=-\dfrac{7}{6}+\dfrac{1}{2}\end{matrix}\right.$
`=>` $\left[\begin{matrix} x=\dfrac{5}{3}\\ x=-\dfrac{2}{3}\end{matrix}\right.$
Vậy `x \in {5/3 ; -2/3}`
`#me`
Hãy giúp mọi người biết câu trả lời này thế nào?
Đáp án:
`↓`
Giải thích các bước giải:
`a) x + 2/5 = 7/(10)`
`=> x = 7/(10) - 2/5`
`=> x = 7/(10) - 4/(10)`
`=> x = 3/10 = 0,3`
Vậy `x =0,3`
`b) x/(-26) = 7/2`
`=> x.2=(-26).7`
`=> x.2=-182`
`=>x= (-182):2`
`=>x=-91`
Vậy `x=-91`
`c) |x - 1/2| - 1/3 = 5/6`
`=> |x - 1/2| = 5/6 + 1/3`
`=> |x - 1/2| = 7/6`
`=>[(x - 1/2 = 7/6),(x - 1/2 = -7/6):}`
`=> [(x = 7/6 + 1/2),(x = -7/6 + 1/2):}`
`=> [(x = 5/3),(x = -2/3):}`
Vậy `x∈{-2/3 ;5/3}`
Hãy giúp mọi người biết câu trả lời này thế nào?
Bảng tin