Vui lòng chỉ chọn một câu hỏi
Hoidap247.com Nhanh chóng, chính xác
+
Danh mục mới
0
2160
Hãy luôn nhớ cảm ơn và vote 5* nếu câu trả lời hữu ích nhé!
5012
2111
1555
`Accnswer`
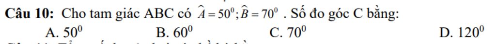
Tổng `3` góc của hình tam giác bằng `180^o`
`=>hat{A}+hat{B}+hat{C}=180^o`
`=>50^o +70^o +hat{C}=180^o`
`=>120^o +hat{C}=180^o`
`=>hat{C}=60^o`
`->bbB`
Hãy giúp mọi người biết câu trả lời này thế nào?
10057
439
7372
.
Bảng tin
Gửi yêu cầu Hủy