Đăng nhập để hỏi chi tiết


Hãy luôn nhớ cảm ơn và vote 5*
nếu câu trả lời hữu ích nhé!
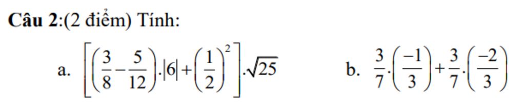
`a, [(3/8 - 5/12) . |6| + (1/2)^2] sqrt25 `
`= [(-1/24) . 6 + 1/4] . 5`
`= [-1/4 + 1/4] . 5`
`= 0 .5 = 0`
`b, 3/7 . (-1/3) + 3/7 .(-2/3)`
`= -1/7 - 2/7 = -3/7`
Hãy giúp mọi người biết câu trả lời này thế nào?
Bảng tin