Vui lòng chỉ chọn một câu hỏi
Hoidap247.com Nhanh chóng, chính xác
+
Danh mục mới
0
2800
Hãy luôn nhớ cảm ơn và vote 5* nếu câu trả lời hữu ích nhé!
1972
3218
1394
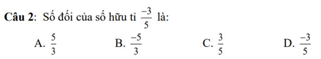
Đáp án:
`-> \bb C`
Giải thích các bước giải:
Ta có:
`-` Số đối của `x` là `-x` Hay `-x` là số đối của `x`
`=>` Số đối của số hữu tỉ `(-3)/(5) = 3/5`
Hãy giúp mọi người biết câu trả lời này thế nào?
10057
439
7374
.
Bám cx phải xin phép chứ đúng ko =)))?
Đang mò th
Theo một câu là bám à?
Vâng =))
Bảng tin
Gửi yêu cầu Hủy