Đăng nhập để hỏi chi tiết


Hãy luôn nhớ cảm ơn và vote 5*
nếu câu trả lời hữu ích nhé!
Đáp án+Giải thích các bước giải:
Nếu `a;b;c;d\ne0` thoả mãn `a/b=c/d` thì `ad=bc`
`->\bbC`
Hãy giúp mọi người biết câu trả lời này thế nào?
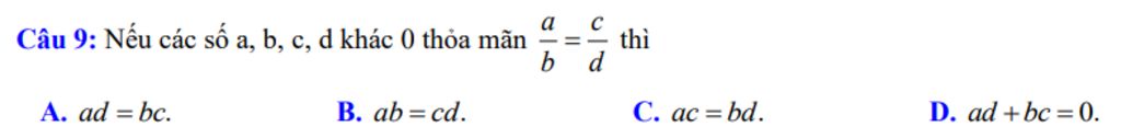
Câu `9:`
`->` Nếu các số `a;b;c;d` khác `0` thoả mãn `a/b=c/d` thì `ad=bc`
`=>` Chọn `C.`
Hãy giúp mọi người biết câu trả lời này thế nào?
Bảng tin