Vui lòng chỉ chọn một câu hỏi
Hoidap247.com Nhanh chóng, chính xác
+
Danh mục mới
0
2260
Hãy luôn nhớ cảm ơn và vote 5* nếu câu trả lời hữu ích nhé!
5012
2161
1555
`Accnswer`
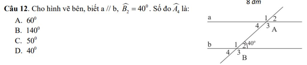
Vì `a////b` nên `hat{B_2}=hat{A_4}=40^o(2` góc so le trong `)`
`->bbD`
Hãy giúp mọi người biết câu trả lời này thế nào?
3844
337
2094
Đáp án+Giải thích các bước giải:
Ta có `a////b`
`hat{B_2}=hat{A_4}=40^@` (2 góc so le trong)
Vậy `hat{A_4}=40^@`
`->\bbD`
Bảng tin
Gửi yêu cầu Hủy