Đăng nhập để hỏi chi tiết


Hãy luôn nhớ cảm ơn và vote 5*
nếu câu trả lời hữu ích nhé!
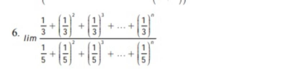
`lim{1/3+(1/3)^2+(1/3)^3+...+(1/3)^n}/{1/5+(1/5)^2+(1/5)^3+...+(1/5)^n}`
`=lim{{1/3.[1-(1/3)^n]}/{1-1/3}}/{{1/5.[1-(1/5)^n]}/{1-1/5}}`
`={1/3:2/3}/{1/5 :4/5}=2`
Hãy giúp mọi người biết câu trả lời này thế nào?

Bảng tin