

Hãy luôn nhớ cảm ơn và vote 5*
nếu câu trả lời hữu ích nhé!
Đáp án+Giải thích các bước giải:
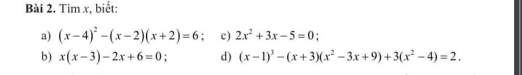
a)
$(x-4)^{2}-(x-2)(x+2)=6$
$⇒$ $x^{2}-8x+16-x^{2}+4=6$
$⇒$ $-8x=-14$
$⇒$ $x=\frac{7}{4}$
b)
$x(x-3)-2x+6=0$
$⇒x(x-3)-2(x-3)=0$
$⇒(x-3)(x-2)=0$
$⇒$ \(\left[ \begin{array}{l}x-3=0\\x-2=0\end{array} \right.\)
$⇒$\(\left[ \begin{array}{l}x=3\\x=2\end{array} \right.\)
c)
$2x^{2}+3x-5=0$
$⇒$ $2x^{2}-2x+5x-5=0$
$⇒$ $2x(x-1)+5(x-1)=0$
$⇒$ $(x-1)(2x+5)=0$
$⇒$ \(\left[ \begin{array}{l}x-1=0\\2x+5=0\end{array} \right.\)
$⇒$ \(\left[ \begin{array}{l}x=1\\x=\frac{-5}{2}\end{array} \right.\)
d)
$ (x-1)^{3}-(x+3)(x^{2}-3x+9)+3(x^{2}-4)=2$
$⇒$ $x^{3}-3x^{2}+3x-1-x^{3}-27+3x^{2}-12=2$
$⇒$ $3x-40=2$
$⇒$ $3x=42$
$⇒ x=14$
Hãy giúp mọi người biết câu trả lời này thế nào?
Bảng tin