Vui lòng chỉ chọn một câu hỏi
Hoidap247.com Nhanh chóng, chính xác
+
Danh mục mới
28
59
19
Hãy luôn nhớ cảm ơn và vote 5* nếu câu trả lời hữu ích nhé!
1912
18800
1518
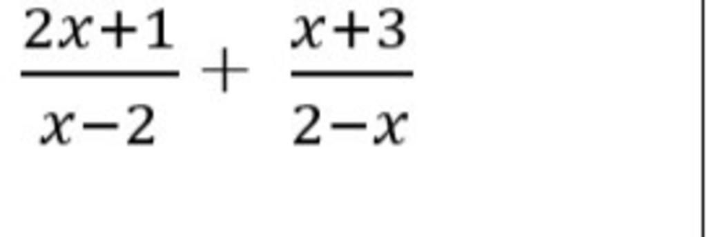
`(2x+1)/(x-2)+(x+3)/(2-x)`
`= (2x+1)/(x-2)+(x+3)/(-(x-2))`
`= (2x+1)/(x-2)+(- (x+3)/(x-2))`
`= (2x+1)/(x-2)-(x+3)/(x-2)`
`= (2x+1-(x+3))/(x-2)`
`= (2x+1-x-3)/(x-2)`
`= ((2x-x)+(1-3))/(x-2)`
`= (x-2)/(x-2)`
`= 1`
Hãy giúp mọi người biết câu trả lời này thế nào?
c.ơn cou nhìu nhen =)
oke
1594
1756
1314
`{2x+1}/{x-2}+{x+3}/{2-x}`
`={2x+1}/{x-2}-{x+3}/{x-2}`
`={2x+1-x-3}/{x-2}`
`={x-2}/{x-2}`
`=1`
Bảng tin
Gửi yêu cầu Hủy
28
59
19
c.ơn cou nhìu nhen =)
1912
18800
1518
oke