

Hãy luôn nhớ cảm ơn và vote 5*
nếu câu trả lời hữu ích nhé!
Đáp án:
Giải thích các bước giải:
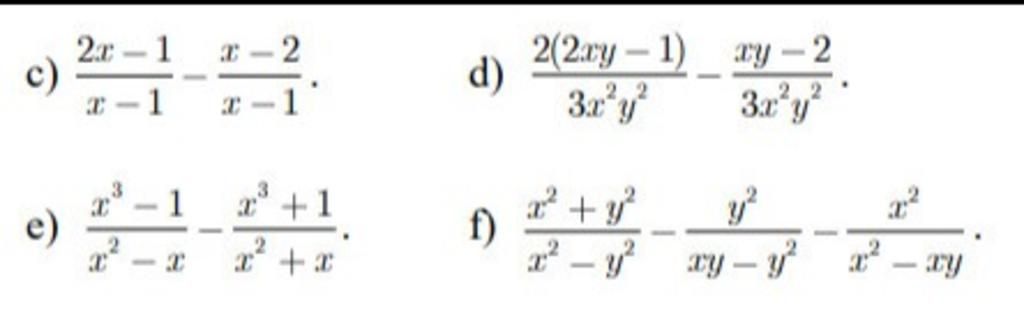
`c) `
`(2x-1)/(x-1) - (x-2)/(x-1) `
`= ( 2x - 1 - (x-2))/(x-1) `
`= ( 2x - 1 - x + 2 )/(x-1) `
`= ( x - 1 )/(x- 1) `
`= 1 `
`d) `
`(2(2xy-1))/(3x^2y^2 ) - (xy - 2 )/(3x^2y^2) `
`= ( 4xy - 2 - ( xy - 2 )) /(3x^2y^2) `
`= ( 4xy - 2 - xy + 2 )/( 3x^2y^2) `
`= (3xy)/(3xy(xy)) `
`= 1/(xy) `
`e) `
`(x^3 - 1 )/(x^2 - x ) - ( x^3 + 1 )/(x^2 + x ) `
`= (( x - 1)(x^2+ x + 1 ))/(x(x-1)) -( ( x + 1 ) (x^2 - x + 1))/(x(x+1)) `
`= (x^2 + x + 1)/x - (x^2 - x + 1)/x `
`= (x^2 + x + 1 - x^2 + x - 1 )/x `
`= (2x)/(x) `
`= 2 `
`f) `
`(x^2 + y^2 )/(x^2 - y^2 ) - y^2/(xy - y^2 ) - (x^2)/(x^2-xy ) `
` =(x^2 + y^2)/((x-y)(x+y)) - y^2 /(y(x - y) - (x^2)/(x(x-y)) `
`= (x^2 + y^2)/((x+y)(x-y)) - y/(x-y) - x/(x-y) `
`= (x^2 + y^2 - y(x+y) - x(x+y) )/((x+y)(x-y))`
`= (x^2 + y^2 - xy - y - x^2 - xy) /((x+y)(x-y)) `
`= -(2xy)/(x+y)(x-y) `
Hãy giúp mọi người biết câu trả lời này thế nào?
![]()
Bảng tin
1266
424
1604
Vào nhs mik k ạ ><???
5682
72289
4032
dạ thôi ạ
1266
424
1604
Sao zạyyy
5682
72289
4032
tại vì tớ có ny á :)
1266
424
1604
Hmm .. Oge ặ