Đăng nhập để hỏi chi tiết


Hãy luôn nhớ cảm ơn và vote 5*
nếu câu trả lời hữu ích nhé!
Đáp án:`+`Giải thích các bước giải:
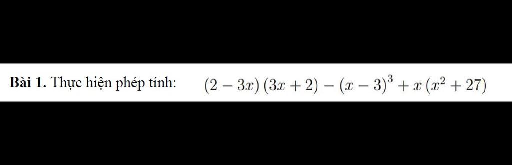
` (2-3x)(3x+2) - (x-3)^3 + x(x^2 +27)`
`= 4 -9x^2 - (x^3 - 9x^2 +27x - 27 ) +x^3 +27x`
`= 4-9x^2 -x^3 +9x^2 -27x +27 +x^3 +27x`
`= 31`
` text{#Mei.}`
Hãy giúp mọi người biết câu trả lời này thế nào?
Bảng tin
1576
16173
1221
đứa 12k còn báo nx cơ mà
0
191
0
bn ơi bn có nhó ko cho mik vào với
408
-88
320
tính ra còn chưa vào đc 1 tuần :))=) đg bận ôn thi mà sao cày được
1576
16173
1221
ok nhớ come back sớm đấy
408
-88
320
ok tn
207
3243
71
t tv nhóm từ ngày đầu nè
206
-64
254
Cho vô nhóm được ko ạ
1529
28431
1350
Wao vụ j v:)