

Hãy luôn nhớ cảm ơn và vote 5*
nếu câu trả lời hữu ích nhé!
$#nobody$
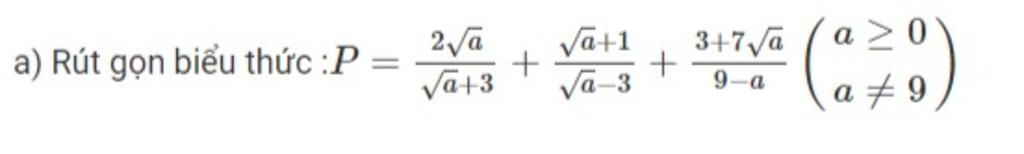
C1:
`b)` Để `P < 1` thì:
`(3sqrta)/(sqrta + 3) < 1 (a >= 0 ; a \ne 9)`
`<=> (3sqrta)/(sqrta + 3) - 1 < 0`
`<=> (3sqrta)/(sqrta + 3) - (sqrta + 3)/(sqrta + 3) < 0`
`<=> (3sqrta - (sqrta + 3))/(sqrta + 3) < 0`
`<=> (3sqrta - sqrta - 3)/(sqrta + 3) < 0`
`<=> (2sqrta - 3)/(sqrta + 3) < 0`
`<=> 2sqrta - 3 < 0`(Vì `sqrta + 3 >= 3 > 0 AA a >= 0 ; a \ne 9`)
`<=> 2sqrta < 3`
`<=> sqrta < 3/2`
`<=> a < 9/4`
Kết hợp với ĐK:
`=> 0 <= a < 9/4`
C2:
`(3sqrta)/(sqrta + 3) < 1 (a >= 0 ; a \ne 9)`
`=> 3sqrta < sqrta + 3` (Vì `sqrta + 3 >= 3 > 0 AA a >= 0 ; a \ne 9)`
`<=> 3sqrta - sqrta < 3`
`<=> 2sqrta < 3`
`<=> sqrta < 3/2`
`<=> a < 9/4`
Kết hợp với ĐK:
`=> 0 <= a < 9/4`
Hãy giúp mọi người biết câu trả lời này thế nào?

Để `P < 1` thì :
`(3\sqrt{a})/(\sqrt{a}+3) < 1`
`<=>` `(3\sqrt{a})/(\sqrt{a}+3) - 1 < 0`
`<=>` `(3\sqrt{a})/(\sqrt{a}+3) - (\sqrt{a}+3)/(\sqrt{a}+3) < 0`
`<=>` `(3\sqrt{a} - \sqrt{a} - 3)/(\sqrt{a}+3) < 0`
`<=>` `(2\sqrt{a} - 3)/(\sqrt{a}+3) < 0`
Vì : `\sqrt{a} ≥ 0` với $\forall$`a`
Nên : `\sqrt{a} + 3 ≥ 3` với $\forall$`a`
`=>` `2\sqrt{a} - 3 < 0`
`<=>` `2\sqrt{a} < 3`
`<=>` `\sqrt{a} < 3/2`
`<=>` `0 ≤ a < 9/4` ( `t//m` )
Vậy để `P < 1` thì `0 ≤ a < 9/4`
Hãy giúp mọi người biết câu trả lời này thế nào?

Bảng tin