Đăng nhập để hỏi chi tiết


Hãy luôn nhớ cảm ơn và vote 5*
nếu câu trả lời hữu ích nhé!
Đáp án:
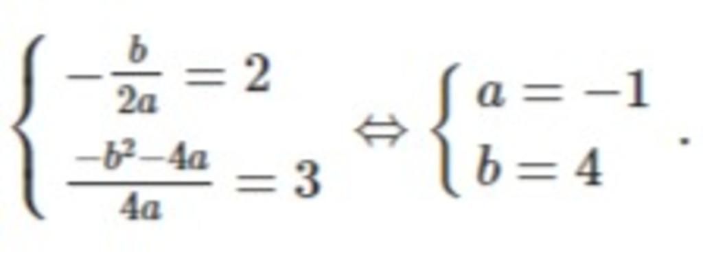
*Pt bên trên là 1 bên dưới là 2
Từ (1) ta có b=-4a , thế vào pt 2 ta đc
-(-4a)²-4a/4a=3
-(4a)²-4a/4a=3
-4a(4a+1)/4a=3
-(4a+1)=3
-4a=4
a=-1
=> b=-4.(-1)=4
Hãy giúp mọi người biết câu trả lời này thế nào?

Đáp án:
Mình gửi ạ
Giải thích các bước giải:
Hãy giúp mọi người biết câu trả lời này thế nào?

Bảng tin
5
709
6
aaa camon cậu nhiều lắm