

Hãy luôn nhớ cảm ơn và vote 5*
nếu câu trả lời hữu ích nhé!

Giải thích các bước giải:
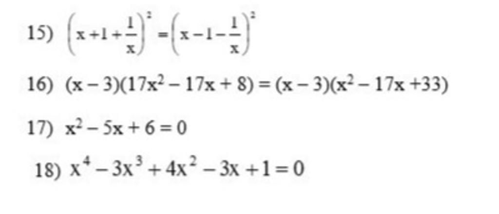
15.ĐKXĐ: $x\ne 0$
Ta có:
$(x+1+\dfrac1x)^2=(x-1-\dfrac1x)^2$
$\to x+1+\dfrac1x=x-1-\dfrac1x$ hoặc $x+1+\dfrac1x=-(x-1-\dfrac1x)$
Giải $x+1+\dfrac1x=x-1-\dfrac1x$
$\to \dfrac2x=-2$
$\to x=-1$
Giải $x+1+\dfrac1x=-(x-1-\dfrac1x)$
$\to x+1+\dfrac1x=-x+1+\dfrac1x$
$\to 2x=0$
$\to x=0$ loại vì $x\ne 0$
16.Ta có:
$(x-3)(17x^2-17x+8)=(x-3)(x^2-17x+33)$
$\to (x-3)(x^2-17x+33)-(x-3)(17x^2-17x+8)=0$
$\to (x-3)((x^2-17x+33)-(17x^2-17x+8))=0$
$\to (x-3)(-16x^2+25)=0$
$\to x-3=0\to x=3$
Hoặc $-16x^2+25=0\to 16x^2=25\to x^2=\dfrac{25}{16}\to x=\pm\dfrac54$
17.Ta có:
$x^2-5x+6=0$
$\to x^2-2x-3x+6=0$
$\to x(x-2)-3(x-2)=0$
$\to (x-2)(x-3)=0$
$\to x-2=0$ hoặc $x-3=0$
$\to x=2$ hoặc $x=3$
18.Thấy $x=0$ không là nghiệm của phương trình
$\to$Chia cả hai vế của phương trình cho $x^2$ ta được:
$x^2-3x+4-\dfrac3x+\dfrac1{x^2}=0$
$\to x^2+2x\cdot\dfrac1x+\dfrac1{x^2}-3x-\dfrac3x+2=0$
$\to (x+\dfrac1x)^2-3(x+\dfrac1x)+2=0$
$\to (x+\dfrac1x)^2-2(x+\dfrac1x)-(x+\dfrac1x)+2=0$
$\to (x+\dfrac1x)((x+\dfrac1x)-2)-((x+\dfrac1x)-2)=0$
$\to ((x+\dfrac1x)-2)((x+\dfrac1x)-1)=0$
$\to (x+\dfrac1x)=2$ hoặc $(x+\dfrac1x)=1$
Giải $(x+\dfrac1x)=2$
$\to x^2+1=2x$
$\to x^2-2x+1=0$
$\to (x-1)^2=0$
$\to x-1=0$
$\to x=1$
Giải $(x+\dfrac1x)=1$
$\to x^2+1=x$
$\to x^2-x+1=0$
$\to (x-\dfrac12)^2+\dfrac34=0$ vô nghiệm vì $(x-\dfrac12)^2+\dfrac34>0$
Hãy giúp mọi người biết câu trả lời này thế nào?

Bảng tin