Vui lòng chỉ chọn một câu hỏi
Hoidap247.com Nhanh chóng, chính xác
+
Danh mục mới
212
3178
124
Hãy luôn nhớ cảm ơn và vote 5* nếu câu trả lời hữu ích nhé!
9058
97647
5315
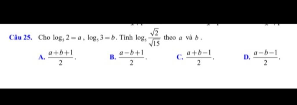
`log_5 \ (sqrt2)/(sqrt15)`
`=log_5 sqrt2 - log_5 sqrt15`
`=1/2log_5 2 - 1/2log_5 15`
`=1/2a-1/2log_5 (3*5)`
`=1/2a-1/2log_5 3 -1/2log_5 5`
`=1/2a-1/2b-1/2`
`=(a-b-1)/2`
`=>` Chọn `D`
Hãy giúp mọi người biết câu trả lời này thế nào?
Bảng tin
Gửi yêu cầu Hủy