Đăng nhập để hỏi chi tiết


Hãy luôn nhớ cảm ơn và vote 5*
nếu câu trả lời hữu ích nhé!
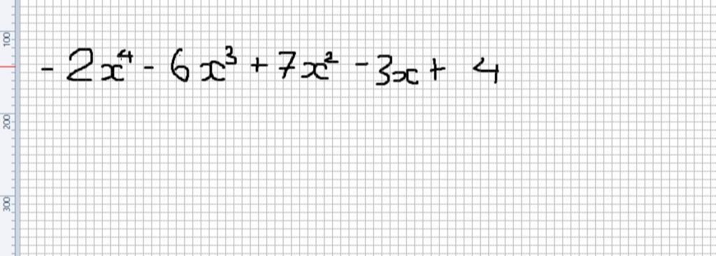
`-2x^4-6x^3+7x^2-3x+4`
`=-2x^4+2x^3-8x^3+8x^2-x^2+x-4x+4`
`=-2x^3(x-1)-8x^2(x-1)+x(x-1)-4(x-1)`
`=(x-1)(-2x^3-8x^2+x-4)`
Hãy giúp mọi người biết câu trả lời này thế nào?

Giải thích các bước giải:
Ta có:
$-2x^4-6x^3+7x^2-3x+4$
$=(-2x^4+2x^3)-(8x^3-8x^2)-(x^2-x)-(4x-4)$
$=-2x^3(x-1)-8x^2(x-1)-x(x-1)-4(x-1)$
$=-(x-1)(2x^3+8x^2+x+4)$
$=-(x-1)(2x^2(x+4)+(x+4))$
$=-(x-1)(x+4)(2x^2+1)$
Hãy giúp mọi người biết câu trả lời này thế nào?
Bảng tin