PHẦN 2. TỰ LUẬN
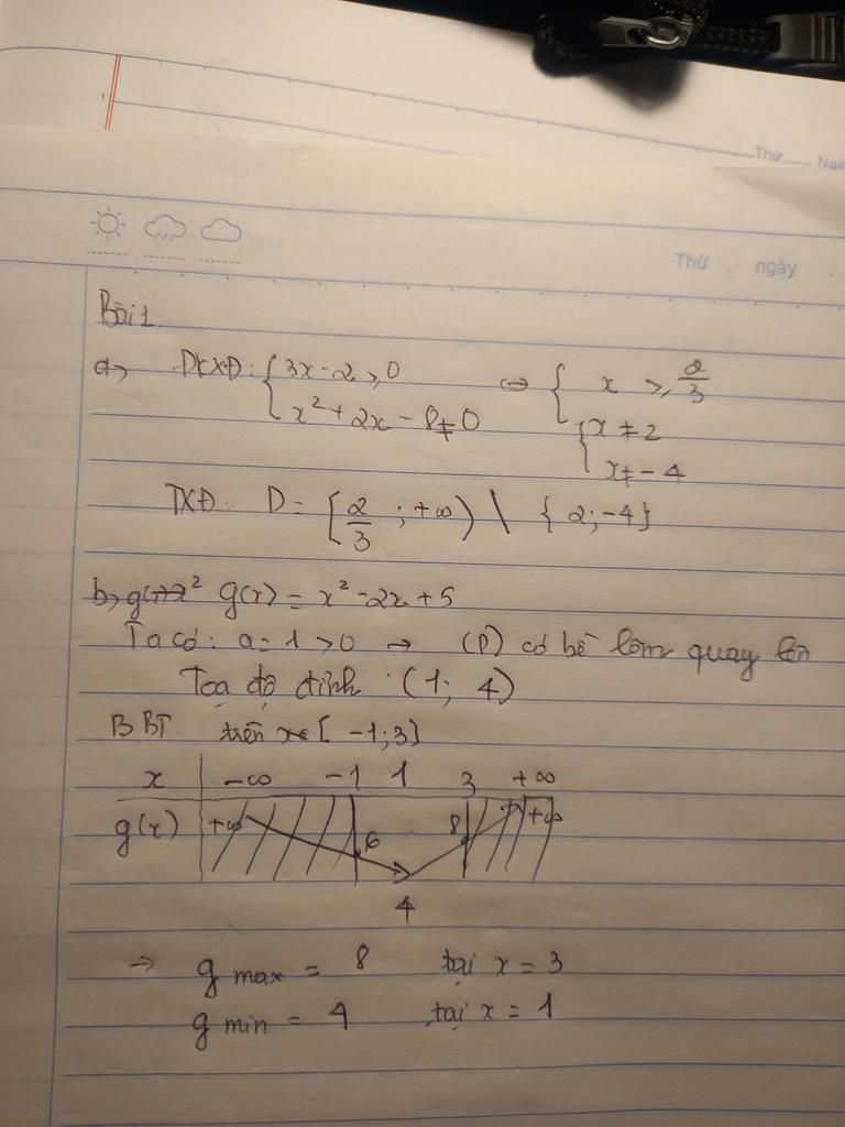
Bài 1. a) Tìm tập xác định của hàm số f(x) =
=
√3x-2-4
x² + 2x-8
b) Cho hàm số g(x) = r2 – 2x + 5. Hãy lập bảng biến thiên của hàm số đã cho, từ đó tìm
giá trị lớn nhất và giá trị nhỏ nhất của hàm số trên | − 1;3].
Rai 2 The bishe thi