Vui lòng chỉ chọn một câu hỏi
Hoidap247.com Nhanh chóng, chính xác
+
Danh mục mới
7
519
2
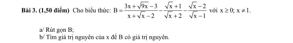
giúp mình câu 3b đáp án chính xác ạ, nhanh nhanh nha tí nữa thi rùi
Xem thêm:
Bảng tin
Gửi yêu cầu Hủy