

Hãy luôn nhớ cảm ơn và vote 5*
nếu câu trả lời hữu ích nhé!
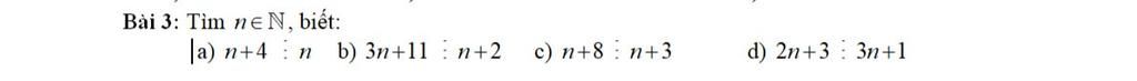
a)n+4 `\vdots` n
`\rightarrow` `n` `\vdots` n; 4 `\vdots` n
Nên n `\in` Ư(4)={1;2;4}
Vậy n={1;2;4}
b)3n+11 `\vdots` n+2
3n+6+5 `\vdots` n+2
`\rightarrow` n+2 thuộc Ư(5)={1;5}
Nếu n+2=1 thì n= -1
Nếu n+2=5 thì n=3
c)n+8 `\vdots` n+3
n+3+5 `\vdots` n+3
`\rightarrow` n+3 thuộc Ư(5)={1;5}
Nếu n+3=1 thì n=-2
Nếu n+3 =5 thì n=2
d) MIk ko bt làm, mong bn thông cảm cho
Chúc bạn học tốt
#trinhtuananh07
#clair de lune
Hãy giúp mọi người biết câu trả lời này thế nào?
Giải thích các bước giải:
`a)`
`n+4 vdots n`
`=>n+4-n vdots n`
`=>4 vdots n`
`=>n in {1;2;4}`
Vậy `n in {1;2;4}`
`b)`
`3n+11 vdots n+2`
`=>3n+11 vdots 3n+6`
`=>3n+11-3n-6 vdots n+6`
`=>5 vdots n+6`
`=>n+6 in Ư(5)` mà `n in N`
`=>n in {0}`
Vậy `n in {0}`
`c)`
`n+8 vdots n+3`
`=>n+8-n_3 vdots n+3`
`=>5 vdots n+3`
`=>n+3 in Ư(5)` mà `n in N`
`=>n in {3}`
Vậy `n in {3}`
`d)`
`2n+3 vdots 3n+1`
`=>6n+9 vdots 6n+2`
`=>6n+9-6n-2 vdots 3n+1`
`=>7 vdots 3n+1`
`=>3n+1 in Ư(7)`
`=>3n+1 in {1;7}`
`=>3n in {0;6}`
`=>n in {0;3}`
Vậy `n in {0;3}`
Hãy giúp mọi người biết câu trả lời này thế nào?
Bảng tin