

Hãy luôn nhớ cảm ơn và vote 5*
nếu câu trả lời hữu ích nhé!

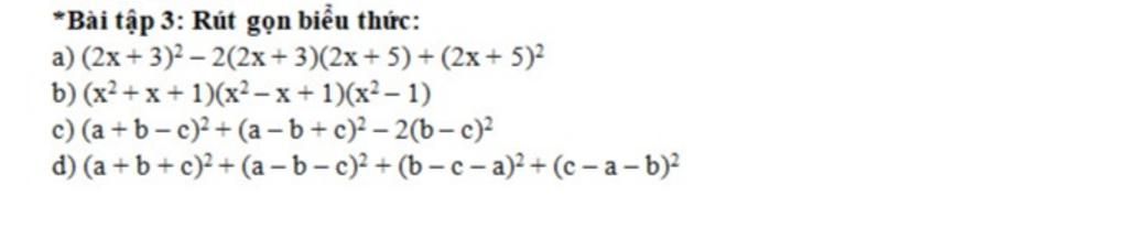
Giải thích các bước giải:
a.Ta có:
$(2x+3)^2-2(2x+3)(2x+5)+(2x+5)^2$
$=((2x+3)-(2x+5))^2$
$=(-2)^2$
$=4$
b.Ta có:
$(x^2+x+1)(x^2-x+1)(x^2-1)$
$=(x^2+x+1)(x^2-x+1)\cdot (x-1)(x+1)$
$=(x-1)(x^2+x+1)\cdot (x+1)(x^2-x+1)$
$=(x^3-1)\cdot (x^3+1)$
$=(x^3)^2-1^2$
$=x^6-1$
c.Ta có:
$(a+b-c)^2+(a-b+c)^2-2(b-c)^2$
$=(a+(b-c))^2+(a-(b-c))^2-2(b-c)^2$
$=(a^2+2a(b-c)+(b-c)^2)+(a^2-2a(b-c)+(b-c)^2)-2(b-c)^2$
$=2a^2+2(b-c)^2-2(b-c)^2$
$=2a^2$
d.Ta có:
$(a+b+c)^2+(a-b-c)^2+(b-c-a)^2+(c-a-b)^2$
$=(a+b+c+a-b-c)^2-2(a+b+c)(a-b-c)+(b-c-a+c-a-b)^2-2(b-c-a)(c-a-b)$
$=4a^2-2(a+b+c)(a-b-c)+4a^2-2(b-c-a)(c-a-b)$
$=8a^2-2((a+b+c)(a-b-c)+(b-c-a)(c-a-b))$
$=8a^2-2((a+b+c)(a-(b+c))-(b-c-a)(-c+a+b))$
$=8a^2-2((a+(b+c))(a-(b+c))-((b-c)-a)((b-c)+a))$
$=8a^2-2(a^2-(b+c)^2-((b-c)^2-a^2))$
$=8a^2-2(a^2-(b+c)^2-(b-c)^2+a^2)$
$=8a^2-2(2a^2-(b^2+2bc+c^2)-(b^2-2bc+c^2))$
$=8a^2-2(2a^2-2b^2-2c^2)$
$=8a^2-4a^2+4b^2+4c^2$
$=4a^2+4b^2+4c^2$
Hãy giúp mọi người biết câu trả lời này thế nào?
Bảng tin