

Hãy luôn nhớ cảm ơn và vote 5*
nếu câu trả lời hữu ích nhé!
Đáp án:+Giải thích các bước giải:
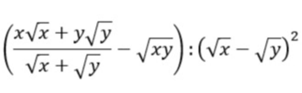
`đkxđ: x , y >= 0 , x ne y`
` ((x\sqrtx+y\sqrty)/(\sqrtx+\sqrty) -\sqrt(xy)) : (\sqrtx-\sqrty)^2`
`=[((\sqrtx+\sqrty)(x-\sqrt(xy)+y))/(\sqrtx+\sqrty) -\sqrt(xy)] . 1/((\sqrtx-\sqrty)^2)`
`=(x-\sqrt(xy)+y-\sqrt(xy)). 1/((\sqrtx-\sqrty)^2)`
`=(x-2\sqrt(xy)+y)/((\sqrtx-\sqrty)^2)`
`=((\sqrtx-\sqrty)^2)/((\sqrtx-\sqrty)^2)`
`=1`
Hãy giúp mọi người biết câu trả lời này thế nào?
Bảng tin
15
287
8
https://hoidap247.com/cau-hoi/6471446