

Hãy luôn nhớ cảm ơn và vote 5*
nếu câu trả lời hữu ích nhé!
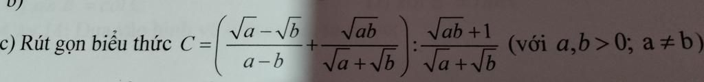
Đáp án:
c=...=[(√a-√b)/(a-b)+(√(ab))/(√a+√b)] :(√(ab)+1)/(√a+√b))
=[(√a-√b)/(√a²-√b²)+(√(ab))/(√a+√b)] :(√(ab)+1)/(√a+√b))
=[(√a-√b)/((√a-√b)*(√a+b))+(√(ab))/(√a+√b)] :(√(ab)+1)/(√a+√b))
=[1/(√a+b)+(√(ab))/(√a+√b)] :(√(ab)+1)/(√a+√b))
=(1+√(ab))/(√a+√b) :(√(ab)+1)/(√a+√b))
=(1+√(ab))/(√a+√b) *((√a+√b)/(√(ab)+1))
=1
Giải thích các bước giải:
phần cuối là rút gọn, mik k có điện thoại nên viết trên này, mik k biết làm thế nào cho ra phân số nên chịu khó nhìn như này nh, chỗ nào k hiểu thì hoi, mik k bt bn k hiểu chỗ nào nên chx giải thik
Hãy giúp mọi người biết câu trả lời này thế nào?
Bảng tin