

Hãy luôn nhớ cảm ơn và vote 5*
nếu câu trả lời hữu ích nhé!
Đáp án:
Giải thích các bước giải:
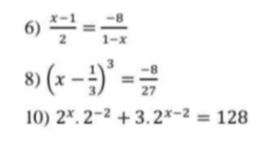
`6,`
`( x - 1 )/2 = (-8)/( 1 - x )`
`=> ( x - 1 )/2 = (-8)/(-(x - 1 ))`
`=> ( x -1)/2 = 8/( x - 1 )`
`=> ( x - 1 )(x - 1 ) = 2 * 8`
`=> ( x - 1 )^2 = 16`
`=> ( x- 1 )^2 = (+-4)^2`
`=> x - 1 = +-4`
`=> x - 1 = 4` hoặc `x - 1 =-4`
`=> x = 5` hoặc `x =-3`
Vậy `x in { 5 ; -3 }`
`8,`
`( x -1/3 )^3 = (-8/27 )`
`=> ( x -1/3 )^3 = (-2/3 )^3`
`=> x - 1/3 = -2/3`
`=> x = -2/3 + 1/3`
`=> x = -1/3`
Vậy `x = -1/3`
`10,`
`2^x * 2^(-2) + 3 * 2^(x - 1 ) = 128`
`=> 2^x * 1/4 + 3 * 2^x : 2 = 128`
`=> 2^x * 1/4 + 3/2* 2^x = 128`
`=> 2^x(1/4 + 3/2 )=128`
`=>2^x * 7/4 = 128`
`=>2^x = 128 : 7/4`
`=>2^x = 512/7`
`=>` Không có giá trị của `x`
Vậy `x in \emptyset`
`~nhungan``
Hãy giúp mọi người biết câu trả lời này thế nào?
![]()
Bảng tin